1 Thinking in distributed systems: Models, mindsets, and mechanics
This chapter argues that modern software is inherently distributed and frames the central question as how distributed an application needs to be. It motivates distribution as the only way to meet real-world fitness goals—correctness, scalability, and reliability—in the face of growing load and inevitable failures. A distributed system is presented as a set of concurrent components that communicate by exchanging messages, whose overall behavior and complexity emerge from the parts and their interactions. The author emphasizes moving from “knowing” to “understanding” through dependable mental models so we can reason with confidence about systems that are complex but unavoidable.
The core tool is the mental model: an internal representation of a system that should be both correct (no falsehoods) and complete (no relevant omissions). The chapter shows how multiple models can be equivalent or complementary, each illuminating different aspects, and recommends viewing distributed behavior as a state machine advancing one step at a time by a component or the network. It distinguishes global versus local viewpoints—an all-knowing observer versus components with only local state—and introduces “systems of systems” (holons/holarchies) to fluidly zoom between atomic components and higher-order subsystems. Correctness is framed via safety (nothing bad happens) and liveness (something good eventually happens); scalability and reliability are cast as responsiveness—meeting SLOs—formalized through SLIs, SLOs, error rates, and error budgets.
To make the mechanics tangible, the “Distributed Systems Inc.” analogy maps components to rooms, the network to pneumatic tubes, and the external interface to a mailbox, making it easy to reason about message loss, duplication, reordering, and crash semantics. Several AHA moments follow: interesting properties like scalability and reliability are emergent; different valid models exist for the same system; and the core challenge is to think globally while acting locally—designing global algorithms from local steps and limited knowledge. Finally, the chapter advocates “thinking above the code,” generalizing concepts like race conditions as incorrect subsets of possible interleavings (and connecting to serializability), setting up a disciplined mindset and vocabulary for the deeper, formal treatment that follows.
Mental model and system

Different models describing the same aspects of a system (the set of facts of each model totally overlaps)

The network as the buffer of inflight messages

The components as the buffer for inflight messages

Different models describing different aspects of a system (the set of facts of each model partially overlaps)

A distributed system as a set of concurrent, communicating components (local state of network not shown)

Behavior of a system as a sequence of states

Safety and liveness

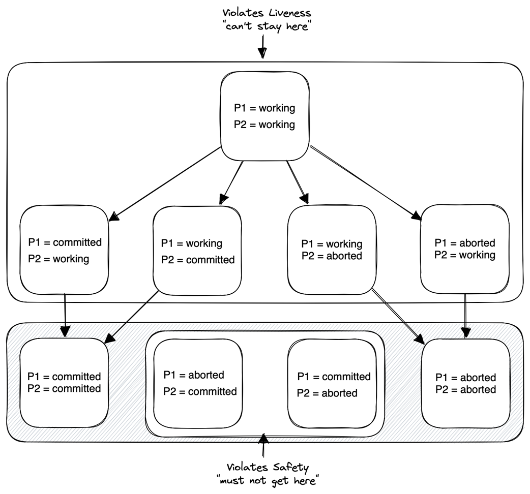
Behavior space of a distributed transaction with two participants

A distributed system as a set of concurrent, communicating subsystems

Holons and holarchies

Two different holarchies, representing the same system

Global point of view

C1’s point of view

Distributed Systems Incorporated

Black box versus white box, a global point of view

Local point of view

Splitbrain

Reasoning about race conditions

Reasoning about serializability

Summary
- A mental model is the internal representation of the target system and is the basis of comprehension and communication.
- Striving for a deep understanding of distributed systems is better than merely knowing about their concepts.
- A distributed system is a set of concurrent components that communicate by sending and receiving messages over a network.
- The core challenge in designing distributed systems is creating a coherent system that functions as a whole despite each component having only local knowledge.
- Ultimately, we are interested in the guarantees a system provides. We reason about these guarantees in terms of correctness—that is, in terms of safety and liveness guarantees as well as scalability and reliability guarantees.
- Distributed systems can be visualized as a corporation, where rooms represent concurrent components, pneumatic tubes represent the network, and a mailbox represents the external interface.
FAQ
Why distribute applications if it adds complexity?
Because a single component cannot handle unbounded load or survive inevitable failures. We distribute to achieve correctness at scale: the system must do the right thing even as load increases (scalability) and components fail (reliability). Multiple collaborating components are necessary to meet these goals.
What is a distributed system in this chapter?
A distributed system is a set of concurrent components that communicate by exchanging messages over a network. Each component and the network have their own local state. System behavior and complexity emerge from component behaviors and their interactions.
What are mental models, and why do they matter?
Mental models are internal representations we use to understand and communicate about systems. Good models are both correct (no falsehoods) and complete (no relevant omissions). They move us from “knowing” terms to truly understanding behavior and trade-offs.
What makes a mental model correct and complete?
- Correct: Every fact in the model is true of the system.
- Complete: Every relevant system fact appears in the model. “Relevant” depends on the question you’re answering.
How does the chapter model system behavior?
As a state machine: behavior is a sequence of states, each produced by a discrete step of one component or the network. Steps can be external (send/receive) or internal (local computation). At any moment, exactly one entity takes exactly one step.
How is correctness defined (safety vs. liveness)?
- Safety: Something bad never happens (prevents incorrect states).
- Liveness: Something good eventually happens (prevents getting stuck).
A system is correct if every possible behavior satisfies both.
What do scalability and reliability mean here?
They’re framed as responsiveness: the ability to meet Service Level Objectives. Scalability is being responsive under load; reliability is being responsive under failure. Formally, responsiveness keeps the error rate under the error budget, using SLIs, SLOs, and error budgets.
Why are multiple models of the same system useful?
Different models can be equivalent (express the same facts differently) or complementary (focus on different aspects). Studying several models gives a more holistic understanding and helps reveal omissions or misconceptions in your own thinking.
What is the global vs. local view challenge?
An all-knowing observer can see the global system state; a component only sees its own state and messages. The core challenge is to think globally (design global guarantees) while acting locally (each component executes a local algorithm with limited knowledge).
How does the “Distributed Systems Inc.” analogy help?
Rooms are components (local state), pneumatic tubes are the network (message delivery), and the mailbox is the external interface. It makes failures (absences), and delivery semantics (loss, duplication, reordering) concrete, helping you reason about consequences and mitigations.